介绍
第一性原理计算的基本思想是将多个原子构成的体系看成是由多个电子和原子核组成的系统,并根据量子力学的基本原理对问题进行最大限度的“非经验性”处理。它只需要5个基本常数(m0,e,h,c,kB)就可以计算
出体系的能量和电子结构等物理性质。它可以确定已知材料的结构和基础性质,并实现原子级别的精准控制,是现阶段解决实验理论问题和预测新材料结构性能的有力工具。并且,第一性原理计算不需要开展真实的实
验,极大地节省了实验成本,现已被广泛应用于化学、物理、生命科学和材料学等领域。
适合的研究方向包括:金属材料、非金属材料、纳米材料、半导体材料、电催化光催化、热催化、电池、固体、界面、合金、吸附等。
常用软件:VASP,MS,CP2K,QE等。
可计算内容
1.晶体几何性质研究
2.常规性质研究,能带、费米能级、DOS、电荷密度,差分电荷密度、Bader电荷,功函数、ELF等
3.催化相关计算,HER、ORR、OER等
4.能量计算,吉布斯自由能、吸附能、掺杂能、形成能等
5.电池相关计算,扩散性质、迁移能垒、载流子迁移率等
6.反应相关计算,反应路径、反应机理研究、过渡态搜索、能垒计算等
7.其他计算,介电常数、弹性模量、磁导率、声子谱等
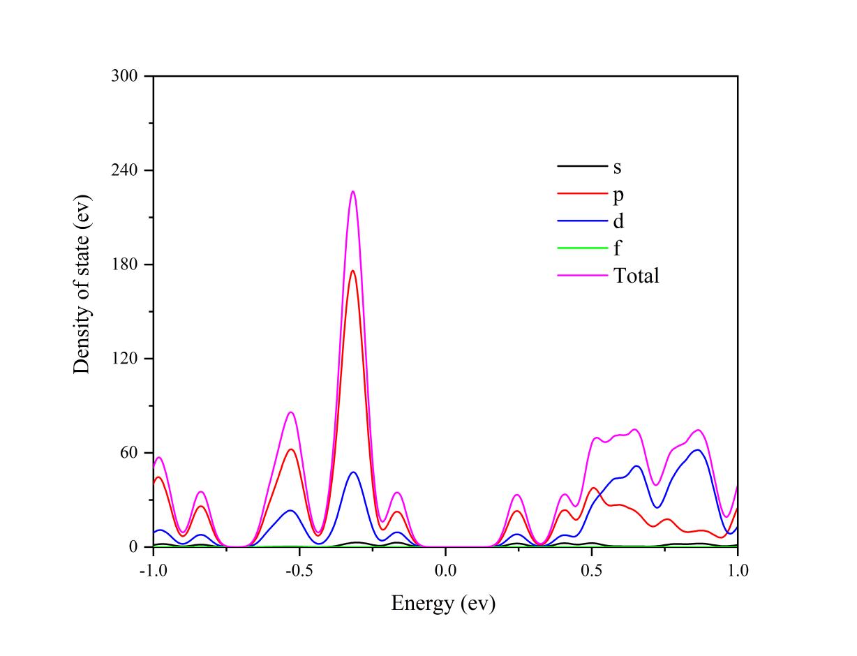
常见计算内容
1.电荷差分

2.吸附作用

3.态密度

4.OER

水质安全直接关系到人类健康和生态环境的稳定,因此,定期进行水质检测是确保水质达标的重要措施。水质检测费用因检测项目的种类、数量和复杂程度而异,从基础指标的检测到全面深入的化学、生物分析,费用范围广泛。同时,了解水质检测机构的服务流程,有助于我们更好地掌握水质检测的各个环节,确保检测结果的准确性和权威性。
屋安全鉴定收费标准是多少,房屋安全鉴定的重要性有哪些
航检检测公司食品安全检测案例专题报告
房屋抗震鉴定流程,房屋抗震鉴定第三方机构怎么找-航检检测
防雷检测流程,防雷检测费用是多少-航检检测第三方检测机构
广告牌安全鉴定流程?广告牌安全鉴定第三方检测机构如何收费-航检检测
灌浆料检测流程与第三方检测机构选择-航检检测
凝土检测检测流程有哪些?航检第三方检测机构推荐
隔热材料检测标准,隔热材料的检测标准主要包括但不限于以下几个方面
装修质量验收规范有哪些?装修验收检测机构服务内容一览-航检检测